Actualité

Le nombre d'agents publics en augmentation de 32 000 en 2024

Et en baisse de 0,4% au quatrième semestre 2024

L’INSEE vient de publier fin février sa mise à jour de l’emploi salarié au quatrième trimestre 2024. Or tandis que l’emploi salarié se replie sur le T4 2024 de 0,3%, celui de la fonction publique baisse également et dans des proportions encore plus importantes à -0,4%. Cette contraction n’est pas anodine, car elle constitue un véritable point d’arrêt d’une croissance de l’emploi public constante depuis le début du 2d quinquennat d’Emmanuel Macron (T2 2022). Pour la Fondation IFRAP – et en attendant la livraison de mises à jour complémentaires – dont certaines ne seront disponibles que dans 2 ans (les résultats de l’enquête SIASP n’étant publiés qu’avec 2 ans de retard) – les conséquences de l’instabilité de la politique actuelle (difficile adoption de la LFI 2025 en février 2025 après l’adoption d’une loi financière spéciale en décembre 2024) notamment au niveau de la FPE, mais aussi une perte d’attractivité de l’emploi public (FPT) devraient expliquer cette contraction dont on verra si elle se confirme au T1 2025 en avril lors de la nouvelle mise à jour de l’enquête INSEE. Néanmoins, sur un an, l’emploi public augmente encore de +32.100 agents contre +69.100 l’année précédente, soit une hausse 2 fois moins rapide. Une bonne nouvelle en période d’ajustement budgétaire. 

Un repli de l’emploi public de -0,4% du T4 2024, mais +32.100 agents sur un an :

Pour bien comprendre l’importance du repli trimestriel de l’emploi public, nous proposons d’adopter une perspective de plus long terme. L’emploi public dans le secteur non marchand (OQ) est le suivant :

Voir l'image en plus grand
Source : INSEE (février 2025).

Entre le T3 2024 et le T4 2024, l’emploi public dans le secteur non marchand (OQ) s’est replié de -22.400 agents (-0,4%), l’emploi public étant cependant en croissance sur un an dans ce secteur avec +27.900 employés publics soit une croissance de +0,5%. 

Ces chiffres ne sont pas sensiblement différents de ceux relatifs aux agents publics au sein de l’emploi total (y compris secteur marchand, dont activités de loisir, tourisme, transports, etc.), puisque l’on relève également un repli de -0,4% avec -22.100 employés publics dans l’ensemble des secteurs au T4 2024 et sur un an la tendance est de +0,5% avec +32.100 employés publics tous secteurs confondus, soit une croissance 2 fois moindre que l’année précédente (+69.100 agents en 2023)

Voir l'image en plus grand
Source : INSEE (février 2025). Cette présentation actualise la précédente que nous avons publié en mars 2024.

La principale différence avec le graphique précédent est la conséquence des privatisations en début de période (T4 1989-T1 1990), qui a fait sortir massivement des employés classés au sein du secteur public vers le secteur privé.  L’emploi public dans l’ensemble des secteurs atteint 22,3% de l’emploi salarié total, soit à un niveau stable sur les 3 derniers trimestres de 2024. En revanche la croissance de l’emploi acquise lors du T3 2024 (+18.900 agents) est totalement effacée par le repli du T4 (-22.100) et contribue ainsi à diviser par 2 la croissance des effectifs publics sur un an glissant

Une 1re inflexion depuis le début du quinquennat d’Emmanuel Macron sauf dans le secteur privé :

Cette flexion conjoncturelle de l’emploi public dans son ensemble ne profite pas de la même manière au secteur non marchand et au secteur marchand. Lorsque l’on analyse la dynamique de l’emploi public au sein des secteurs OQ (non marchand) et des autres (AZ-OQ), cette tendance doit être nuancée. En effet, alors que le secteur privé dans son ensemble se replie au T4 2024 avec -0,3% (-68.000 emplois), les employés publics du secteur privé voient au contraire leurs effectifs croitre de +0,13% (+300) à 224.200 salariés

Voir l'image en plus grand
Source : INSEE (février 2025).

Il s’agit en tout cas de la première flexion significative de l’emploi public depuis le début du quinquennat d’Emmanuel Macron (T2 2022), après un pic atteint au T3 2024 avec près de 6,06 millions d’agents publics, dont 5,8 millions, dans le secteur non marchand (96,3%). Sur la même période, l’emploi public dans le secteur marchand (EPIC, structures industriels et commerciales, entreprises publiques), a augmenté de 13.300 employés, soit une croissance de 6,3%. 

Conséquence sur le ralentissement de la croissance des effectifs en 2024 :

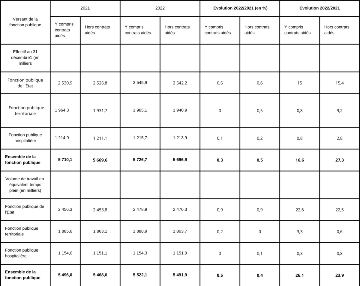
Si l’on regarde les éléments fournis par l’INSEE cette fois pour la dernière année traitée (soit 2022[2]) au sein des administrations publiques, on constate que si la croissance de l’emploi public atteignait 0,3% (tous types de contrats soit (+16.600 agents – effectifs physiques)) et +0,5% (hors contrats aidés). Cette dynamique est très proche de celle enregistrée pour la même période dans l’enquête trimestrielle, soit pour la même année glissante au T4 2022 comparé au T4 2021, +0,4% et une croissance de +25.300 agents. 

Voir l'image en plus grand
Source : INSEE (avril 2024).

Les évolutions 2022 montraient alors une FPE en croissance (+0,6%) portée par les lois de programmation sectorielles (dont l’école), tandis que la FPT était à l’arrêt (0%) la réduction des emplois aidés (-12.000) servant à absorber une augmentation des effectifs réguliers de la FPT (+0,5%). Dans la fonction publique hospitalière, la croissance des effectifs (+0,1%) en lien avec les mesures du Ségur de la Santé n’était ralentie là encore que par une baisse des contrats aidés puisque sans eux les effectifs de la FPH augmentaient de +0,2% sur un an. 

Notons toutefois qu’en 2023 d’après l’enquête trimestrielle la croissance a été à nouveau plus rapide avec une croissance des agents publics tous secteurs de +1,2% qui retomberait ensuite en 2024 à +0,5%. Pour la fondation iFRAP, la dynamique observée en 2022 devrait se répartir à peu près avec les mêmes effets en 2024, selon les corrections suivantes :

  • La FPE devrait voir sa dynamique de croissance modérée (hors opérateurs) par la régulation budgétaire à l’œuvre en 2024 avec les gels de dépenses que l’on connaît et qui ont inclus également la masse salariale[3] très certainement. Sur la fonction QZ administration publique (y compris les collectivités territoriales néanmoins), la croissance des effectifs ne serait que de 4.500 personnes hors enseignement scolaire et de +18.700 avec (QZ+PZ). 

  • Par ailleurs, dans la FPT le baromètre Horizon 2025 RH disponible[4], montre que les intentions de recrutement fléchissent (43,4% des employeurs locaux pensent recruter en 2024, contre 51% en 2023), dont très sérieusement à hauteur de 32,2% soit -3 point par rapport à l’année précédente. Les recrutements d’ailleurs iraient majoritairement au remplacement des effectifs partant à la retraite en raison de l’importante transition démographique que vit actuellement la FPT. Les créations pures (hors catégorie « les deux »), baissant à 9% (-1 point) contre 16% en 2022. Nous formulons donc l’hypothèse d’une baisse probable des effectifs de l’emploi territorial en 2024. D’autant que les mesures de revalorisation de salaires intervenues en juillet 2023 avec extension en année pleine en 2024 devraient contraindre à jouer sur les schémas d’emplois pour éviter l’explosion des dépenses de personnel. Une incertitude existerait s’agissant des EHPAD et autres ODAL, dans la mesure où les besoins non couverts restent sensibles[5]. On enregistre secteur public et privé confondu (QB) dans le domaine médico-social et social avec ou sans hébergement une croissance des effectifs de 5.500 emplois sur un an en 2024. D’après l’enquête trimestrielle. 

  • Enfin, la FPH devrait selon nous et d’après l’enquête BMO (besoins de main-d’œuvre de France Travail[6]) continuer d’apporter une contribution significative à la croissance des effectifs en 2024. Certes les projets de recrutement difficile dans la santé et l’action sociale représenteraient 64% des près de 303.000 projets de recrutement intervenant dans l’année. Néanmoins, nous pensons que la FPH grâce aux mesures de revalorisations statutaires et salariales dynamiques devrait compenser ce vent contraire, d’autant qu’aucune mesure de régulation budgétaire n’est intervenue en 2024 pour en limiter la croissance.  La croissance sur ce segment dans l’enquête emploi publique et privée confondue représenterait en 2024 une croissance de +17.700 emplois. 

 


 


[1] https://www.ifrap.org/fonction-publique-et-administration/emploi-public-58-700-salaries-en-2023. On remarquera que le chiffre provisoire de 2023 a été depuis rehaussé puisqu’en 2023 la croissance de l’emploi salarié public est finalement de +69.100 au lieu de +58.700 entre le T4 2022 et le T4 2023, sur un an glissant. 

[2] INSEE, informations rapides n°94, 12 avril 2024 https://www.insee.fr/fr/statistiques/8171985

[3] On parle de 16 milliards d’euros intervenus en cours de gestion, voir https://www.senat.fr/rap/l24-144-1/l24-144-11.pdf#page=79, ce qui ne pourrait pas ne pas avoir de conséquence sur l’exécution du schéma d’emploi et la sous-exécution des plafonds d’emplois au sein des ministères.

[4]https://medias.amf.asso.fr/docs/DOCUMENTS/a20c3179af89a735be4f9f827a3d0134.pdf, mais sur des enquêtes réalisées en 2024.

[5] Voir ainsi France Stratégie, Travailler dans la fonction publique, le défi de l’attractivité, décembre 2024 https://www.strategie.gouv.fr/files/files/Publications/2024/Travailler%20dans%20la%20fonction%20publique/2024-NS-Servir-D%C3%A9cembre.pdf

[6]https://www.banquedesterritoires.fr/sites/default/files/2024-04/BMO2024_rapport_France.pdf